Scientific Method Worksheet Answers

Printable Scientific Method Worksheet

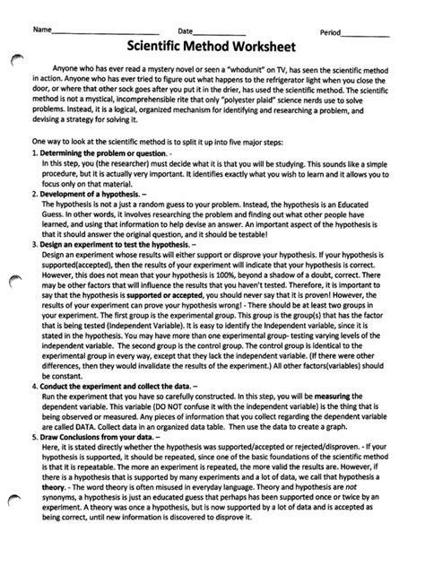
Scientific Method Worksheet Answers. Web the series of worksheets you will find in this section will really test your understanding of the concept of the scientific method.

Printable Scientific Method Worksheet
Printable Scientific Method Worksheet

Web the series of worksheets you will find in this section will really test your understanding of the concept of the scientific method.

Web the series of worksheets you will find in this section will really test your understanding of the concept of the scientific method. Web the series of worksheets you will find in this section will really test your understanding of the concept of the scientific method.