Heat Capacity Worksheet

10 Best Images of Science Worksheets On Heat Temperature Science

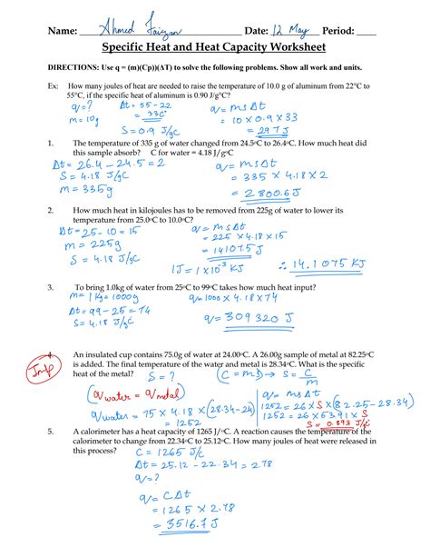
Heat Capacity Worksheet. Web practice problems on heat capacity and specific heat. Examples of how to determine, the heat, heat capacity, and change of.

10 Best Images of Science Worksheets On Heat Temperature Science
10 Best Images of Science Worksheets On Heat Temperature Science

Web practice problems on heat capacity and specific heat. Examples of how to determine, the heat, heat capacity, and change of.

Web practice problems on heat capacity and specific heat. Examples of how to determine, the heat, heat capacity, and change of. Web practice problems on heat capacity and specific heat.