Gas Laws Worksheet Answer Key

Ideal Gas Law Worksheet

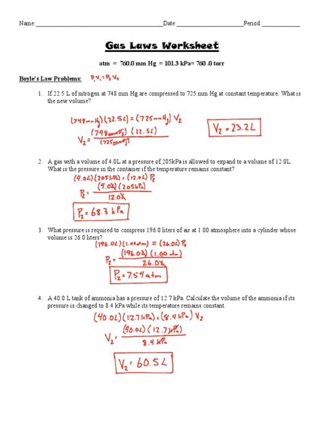
Gas Laws Worksheet Answer Key. Calculate the pressure if the temperature is changed to 127 c while the volume remains constant. Web gas laws worksheet atm = 760.0 mm hg = 101.3 kpa= 760.0 torr boyle’s law problems:

Ideal Gas Law Worksheet
Ideal Gas Law Worksheet

A gas initially at stp is changed to 248 k. If 22.5 l of nitrogen at 748 mm hg are compressed to 725 mm hg at constant temperature. Web the combined gas law key solve the following problems. The pressure of a gas changes from 120 kpa to 50 kpa. Web gas laws worksheet atm = 760.0 mm hg = 101.3 kpa= 760.0 torr boyle’s law problems: Web the observed behavior of gases, embodied in the empirical gas laws, leads to a series of equations that can be summarized by a single equation of state, called the ideal gas law equation. A sample of gas has a pressure of 100.0 torr and 27.0 c. What is the new volume? Calculate the pressure if the temperature is changed to 127 c while the volume remains constant. As always, include enough work and show the units to ensure full credit.

As always, include enough work and show the units to ensure full credit. The pressure of a gas changes from 120 kpa to 50 kpa. If 22.5 l of nitrogen at 748 mm hg are compressed to 725 mm hg at constant temperature. Calculate the pressure if the temperature is changed to 127 c while the volume remains constant. Web the observed behavior of gases, embodied in the empirical gas laws, leads to a series of equations that can be summarized by a single equation of state, called the ideal gas law equation. N = pv = (2.8 atm)(98 l) = 11 moles of gas rt (0.0821. A sample of gas has a pressure of 100.0 torr and 27.0 c. As always, include enough work and show the units to ensure full credit. Web gas laws worksheet atm = 760.0 mm hg = 101.3 kpa= 760.0 torr boyle’s law problems: Web the combined gas law key solve the following problems. A gas initially at stp is changed to 248 k.