Equations Of Perpendicular And Parallel Lines Worksheet

Writing Equations Of Parallel And Perpendicular Lines Worksheet Answers

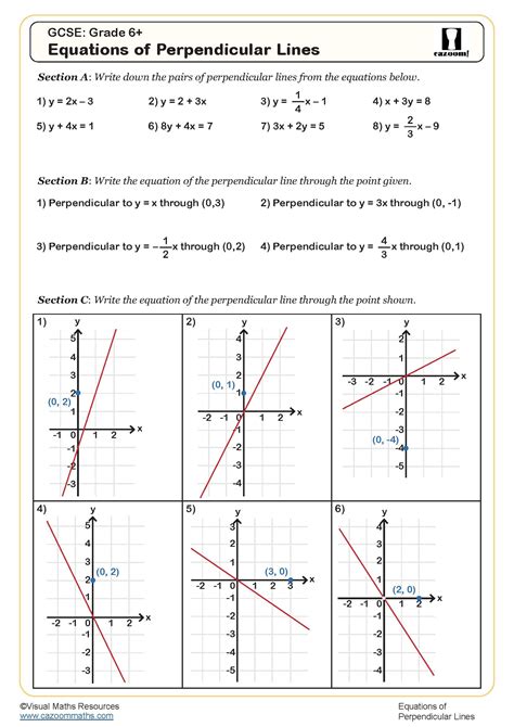
Equations Of Perpendicular And Parallel Lines Worksheet. Web these parallel and perpendicular lines worksheets will ask the student to find the equation of a parallel line passing through.

Writing Equations Of Parallel And Perpendicular Lines Worksheet Answers
Writing Equations Of Parallel And Perpendicular Lines Worksheet Answers

Web these parallel and perpendicular lines worksheets will ask the student to find the equation of a parallel line passing through.

Web these parallel and perpendicular lines worksheets will ask the student to find the equation of a parallel line passing through. Web these parallel and perpendicular lines worksheets will ask the student to find the equation of a parallel line passing through.