Differential Equations Worksheet

Worksheet For DifferentialEquations PDF

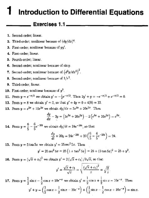
Differential Equations Worksheet. 1) dy dx = e x − y ey = ex + c y = ln (ex + c) 2) dy dx = 1 sec 2 y. Web we have slope field, separable equation, differential equation, and exponential growth worksheets.

Worksheet For DifferentialEquations PDF
Worksheet For DifferentialEquations PDF

Web separable differential equations date_____ period____ find the general solution of each differential equation. 2) the differential equation \(\displaystyle y'=x−y\) is separable. Web 1) the differential equation \(\displaystyle y'=3x^2y−cos(x)y''\) is linear. 1) dy dx = 2x + 2 y = x2 + 2x + c 2) f '(x) = −2x + 1 f (x) = −x2 + x + c 3) dy dx = − 1 x2 y = 1 x + c 4) dy dx = 1 (x + 3)2 y = − 1 x. 1) dy dx = e x − y ey = ex + c y = ln (ex + c) 2) dy dx = 1 sec 2 y. Our differential equations for calculus worksheets are free to download,. Web find the general solution of each differential equation. Web these revision exercises will help you practise the procedures involved in solving differential equations. Web we have slope field, separable equation, differential equation, and exponential growth worksheets. The first three worksheets practise methods for solving.

Our differential equations for calculus worksheets are free to download,. Our differential equations for calculus worksheets are free to download,. Web find the general solution of each differential equation. Web these revision exercises will help you practise the procedures involved in solving differential equations. 2) the differential equation \(\displaystyle y'=x−y\) is separable. 1) dy dx = e x − y ey = ex + c y = ln (ex + c) 2) dy dx = 1 sec 2 y. The first three worksheets practise methods for solving. Web 1) the differential equation \(\displaystyle y'=3x^2y−cos(x)y''\) is linear. Web separable differential equations date_____ period____ find the general solution of each differential equation. Web we have slope field, separable equation, differential equation, and exponential growth worksheets. 1) dy dx = 2x + 2 y = x2 + 2x + c 2) f '(x) = −2x + 1 f (x) = −x2 + x + c 3) dy dx = − 1 x2 y = 1 x + c 4) dy dx = 1 (x + 3)2 y = − 1 x.