Angle Elevation And Depression Word Problems

Angle Of Elevation And Depression Problems With Solutions And Drawing

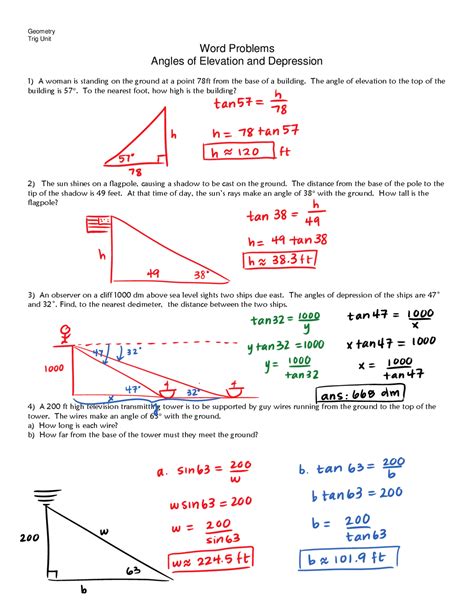
Angle Elevation And Depression Word Problems. Web word problems in trigonometry often involve finding the angle of depression or elevation. Utilize the fact that the angle of depression = the angle of elevation and.

Angle Of Elevation And Depression Problems With Solutions And Drawing
Angle Of Elevation And Depression Problems With Solutions And Drawing

Web word problems in trigonometry often involve finding the angle of depression or elevation. Utilize the fact that the angle of depression = the angle of elevation and. These angles are formed between a. Web in the diagram at the left, the adjacent angle is 52º.

These angles are formed between a. These angles are formed between a. Web word problems in trigonometry often involve finding the angle of depression or elevation. Utilize the fact that the angle of depression = the angle of elevation and. Web in the diagram at the left, the adjacent angle is 52º.