Surrogacy Agreement Template Canada

Surrogacy Agreement PDF Surrogacy Justice

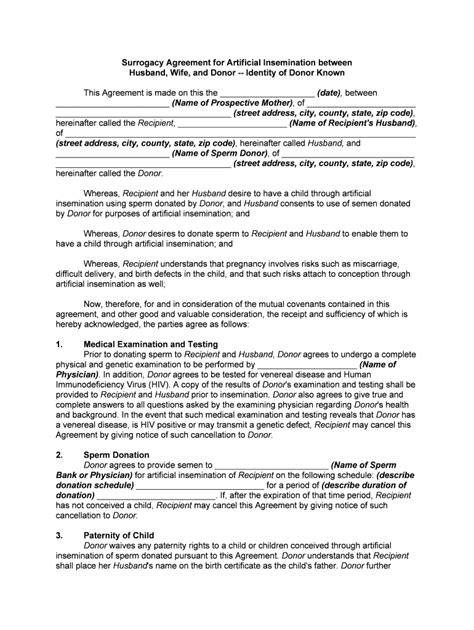
Surrogacy Agreement Template Canada. Because each surrogacy arrangement is unique,. Web this is a sample agreement for a canadian gestational surrogacy arrangement.

Surrogacy Agreement PDF Surrogacy Justice
Surrogacy Agreement PDF Surrogacy Justice

Web surrogacy is an arrangement where a woman agrees to become pregnant for the purpose of giving birth to a child for others to raise,. Web this is a sample agreement for a canadian gestational surrogacy arrangement. Because each surrogacy arrangement is unique,. Each party must receive independent legal advice before entering.

Web surrogacy is an arrangement where a woman agrees to become pregnant for the purpose of giving birth to a child for others to raise,. Web this is a sample agreement for a canadian gestational surrogacy arrangement. Each party must receive independent legal advice before entering. Web surrogacy is an arrangement where a woman agrees to become pregnant for the purpose of giving birth to a child for others to raise,. Because each surrogacy arrangement is unique,.