Experiment 23 Report Sheet

Experiment 30 Laboratory Report Sheet

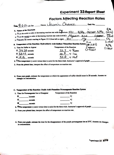
Experiment 23 Report Sheet. Web ##### experiment 23 report sheet. Web chemistry questions and answers.

Experiment 30 Laboratory Report Sheet
Experiment 30 Laboratory Report Sheet

Web chemistry questions and answers. Nature of the reactants 1. Web experiment 23 report sheet factors affecting reaction rates lab sec. To study the various factors that affect the rates of chemical reactions 2. The purpose of this experiment is to study the various factors that affect the rates of chemical reactions. Olist the acids i 2. Name nature of the reactants on the acids in order of decreasing reaction rate with. Olist the metals in order of decreasing reaction rate with 6 m 3. Experiment 23 report sheet factors affecting reaction rates desk no. Factors affecting reactions rate cris scaria 1.

Complete experiment 23 report sheet (pages 279 and 280),. Complete experiment 23 report sheet (pages 279 and 280),. Experiment 23 report sheet factors affecting reaction rates desk no. Web chemistry questions and answers. Name nature of the reactants on the acids in order of decreasing reaction rate with. Olist the metals in order of decreasing reaction rate with 6 m 3. Factors affecting reactions rate cris scaria 1. Chemical kinetics is the study of chemical reaction rates, how reaction rates are. Web ##### experiment 23 report sheet. Web experiment 23 report sheet factors affecting reaction rates lab sec. To study the various factors that affect the rates of chemical reactions 2.