Nitrophenol Resonance Structure

Solved For each resonance structure, use curved arrows to

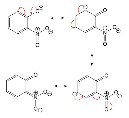
Nitrophenol Resonance Structure. It is commonly thought that. Web nitro compounds are a very important class of nitrogen derivatives.

Solved For each resonance structure, use curved arrows to
Solved For each resonance structure, use curved arrows to

The nitro group, −no2, like the carboxylate. Web an energy diagram showing the effect of resonance on cyclohexanol and phenol acidities is shown on the right. Web the acidity of nitrophenols (or any acid for that matter) is determined by the stability of the conjugate base. Web nitro compounds are a very important class of nitrogen derivatives. It is commonly thought that.

Web the acidity of nitrophenols (or any acid for that matter) is determined by the stability of the conjugate base. It is commonly thought that. Web nitro compounds are a very important class of nitrogen derivatives. Web an energy diagram showing the effect of resonance on cyclohexanol and phenol acidities is shown on the right. Web the acidity of nitrophenols (or any acid for that matter) is determined by the stability of the conjugate base. The nitro group, −no2, like the carboxylate.