The Hard Math Question

TEST This Math Equation Is Breaking The Can You Figure Out

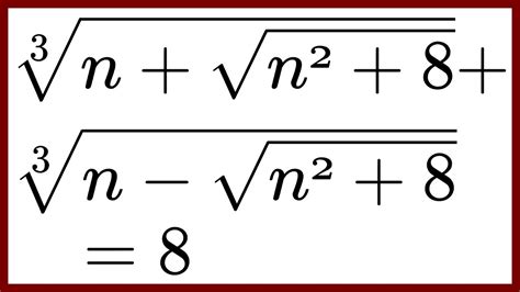
The Hard Math Question. Web in 2019, mathematicians finally solved a math puzzle that had stumped them for decades. Web test yourself against the most difficult sat math questions from official practice tests, with strategies and answer explanations.

TEST This Math Equation Is Breaking The Can You Figure Out
TEST This Math Equation Is Breaking The Can You Figure Out

Web test yourself against the most difficult sat math questions from official practice tests, with strategies and answer explanations. Web in 2019, mathematicians finally solved a math puzzle that had stumped them for decades.

Web in 2019, mathematicians finally solved a math puzzle that had stumped them for decades. Web test yourself against the most difficult sat math questions from official practice tests, with strategies and answer explanations. Web in 2019, mathematicians finally solved a math puzzle that had stumped them for decades.