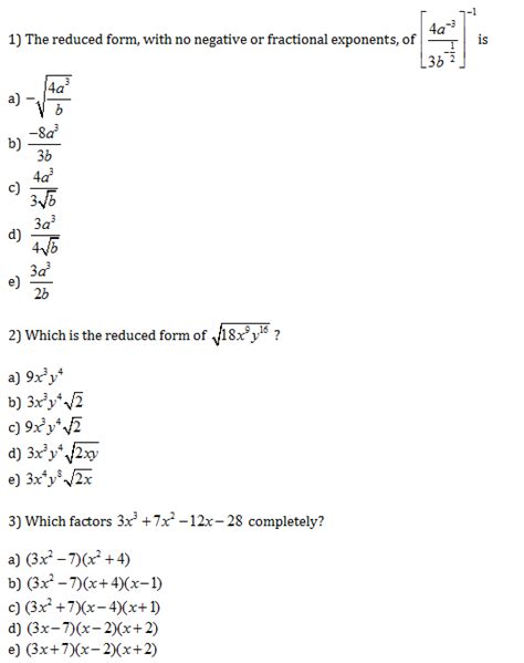
Math Problems For Sophomores

Math Olympiad Problems, Math Problems, Algebra Resources, Sat Math

Math Problems For Sophomores. Web a selection of free math exercises to review the 10th grade, sophmore year, year 11 curriculum. Web high school math for grades 10, 11, and 12 math questions and problems to test deep understanding of math concepts and.

Math Olympiad Problems, Math Problems, Algebra Resources, Sat Math
Math Olympiad Problems, Math Problems, Algebra Resources, Sat Math

Web a selection of free math exercises to review the 10th grade, sophmore year, year 11 curriculum. Web high school math for grades 10, 11, and 12 math questions and problems to test deep understanding of math concepts and.

Web high school math for grades 10, 11, and 12 math questions and problems to test deep understanding of math concepts and. Web high school math for grades 10, 11, and 12 math questions and problems to test deep understanding of math concepts and. Web a selection of free math exercises to review the 10th grade, sophmore year, year 11 curriculum.