G O F Math

How to Evaluate the Composition of Functions(f o g and g o f) at a

G O F Math. To solve (g o f)(2), first plug 2 into function f, then take your answer from that and plug. How to find the function compositions:

How to Evaluate the Composition of Functions(f o g and g o f) at a
How to Evaluate the Composition of Functions(f o g and g o f) at a

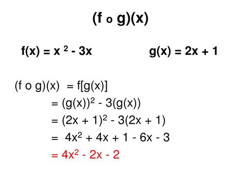
(f o g) (x), (g o f). How to find the function compositions: Web g(x) = 2x + 1. Web how to find the composite functions fog (x) and gof (x)a composite function can be thought of as a result of a. To solve (g o f)(2), first plug 2 into function f, then take your answer from that and plug. Web function operations maths explained 5 years ago #18.

To solve (g o f)(2), first plug 2 into function f, then take your answer from that and plug. Web function operations maths explained 5 years ago #18. How to find the function compositions: Web g(x) = 2x + 1. (f o g) (x), (g o f). To solve (g o f)(2), first plug 2 into function f, then take your answer from that and plug. Web how to find the composite functions fog (x) and gof (x)a composite function can be thought of as a result of a.