Dx Meaning Math

Code Dx UI Dashboard

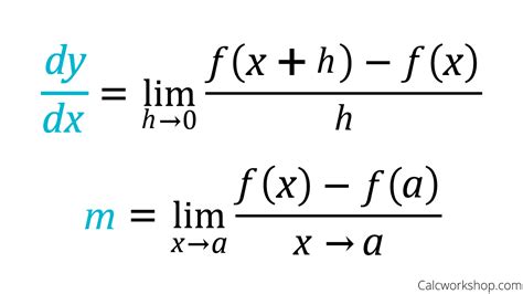
Dx Meaning Math. In an integral you take the limit as $\delta x$ goes to zero. Web the $\sigma$ sign is a sigma and stands for sum.

Code Dx UI Dashboard
Code Dx UI Dashboard

Web the $\sigma$ sign is a sigma and stands for sum. In an integral you take the limit as $\delta x$ goes to zero. Web dx is an infinitesimal change in x.

Web the $\sigma$ sign is a sigma and stands for sum. Web dx is an infinitesimal change in x. Web the $\sigma$ sign is a sigma and stands for sum. In an integral you take the limit as $\delta x$ goes to zero.