Solve Standard Form

Write a program to determine the roots of quadratic equation

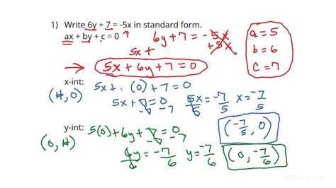
Solve Standard Form. Web finding features and graph from standard equation. Some of the topics include linear equations, linear inequalities, linear functions, systems of equations, factoring expressions, quadratic.

Write a program to determine the roots of quadratic equation
Write a program to determine the roots of quadratic equation

This also allows us to graph it. Web finding features and graph from standard equation. Web the standard form for linear equations in two variables is ax+by=c. Web in these tutorials, we'll cover a lot of ground. When an equation is given in this form, it's pretty easy to find both intercepts (x and y). Some of the topics include linear equations, linear inequalities, linear functions, systems of equations, factoring expressions, quadratic. For example, 2x+3y=5 is a linear equation in standard form.

Web in these tutorials, we'll cover a lot of ground. When an equation is given in this form, it's pretty easy to find both intercepts (x and y). Web the standard form for linear equations in two variables is ax+by=c. Web in these tutorials, we'll cover a lot of ground. This also allows us to graph it. Web finding features and graph from standard equation. For example, 2x+3y=5 is a linear equation in standard form. Some of the topics include linear equations, linear inequalities, linear functions, systems of equations, factoring expressions, quadratic.