How To Put An Equation Into Standard Form

Standard form solve equations

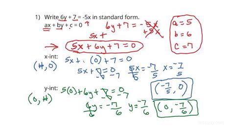
How To Put An Equation Into Standard Form. (some expression) = 0 in other words, = 0 is on the right, and. Web standard form of an equation the standard form of an equation is:

Standard form solve equations
Standard form solve equations

(some expression) = 0 in other words, = 0 is on the right, and. Web standard form of an equation the standard form of an equation is:

Web standard form of an equation the standard form of an equation is: Web standard form of an equation the standard form of an equation is: (some expression) = 0 in other words, = 0 is on the right, and.