Dot Annual Inspector Certification Form

Annual DOT Inspection Day 062116 YouTube

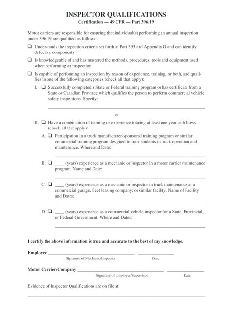
Dot Annual Inspector Certification Form. This document updates the operational procedures for certification of federal motor carrier.

Annual DOT Inspection Day 062116 YouTube
Annual DOT Inspection Day 062116 YouTube

This document updates the operational procedures for certification of federal motor carrier.

This document updates the operational procedures for certification of federal motor carrier. This document updates the operational procedures for certification of federal motor carrier.