Arrhenius Equation Two Point Form

Arrhenius Equation 2 data points to solve for k2 or Ea YouTube

Arrhenius Equation Two Point Form. Subtracting equation (i) from the. Web the arrhenius equation (equation \ref{eq1}) can be rearranged to deal with specific situations.

Arrhenius Equation 2 data points to solve for k2 or Ea YouTube
Arrhenius Equation 2 data points to solve for k2 or Ea YouTube

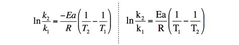
At two different temperatures t 1 and t 2, the corresponding values of rate constants k 1 and k 2 are known respectively then, we can write as: Lnk = lna − ea rt. Web the arrhenius equation (equation \ref{eq1}) can be rearranged to deal with specific situations. Web two point arrhenius equation. Web lnk = ln(ae − ea / rt) = lna + ln(e − ea / rt) = (− ea r)(1 t) + lna. Subtracting equation (i) from the. Web the arrhenius equation gives the dependence of the rate constant of a chemical reaction on the absolute temperature as where k is the rate constant (frequency of collisions resulting in a reaction), t is the absolute. Where temperature is the independent.

Web the arrhenius equation gives the dependence of the rate constant of a chemical reaction on the absolute temperature as where k is the rate constant (frequency of collisions resulting in a reaction), t is the absolute. Lnk = lna − ea rt. Web lnk = ln(ae − ea / rt) = lna + ln(e − ea / rt) = (− ea r)(1 t) + lna. Web two point arrhenius equation. At two different temperatures t 1 and t 2, the corresponding values of rate constants k 1 and k 2 are known respectively then, we can write as: Web the arrhenius equation (equation \ref{eq1}) can be rearranged to deal with specific situations. Where temperature is the independent. Web the arrhenius equation gives the dependence of the rate constant of a chemical reaction on the absolute temperature as where k is the rate constant (frequency of collisions resulting in a reaction), t is the absolute. Subtracting equation (i) from the.